 |
カルキング8
アップグレードのご案内
ユーザーさまから寄せられた様々な機能要望を元に、大幅な機能追加を果たし、
カルキング8が完成いたしました。
また単に機能アップするだけではなく、使い勝手の向上・表現力の向上・演算能力の強化と、
使い勝手から、見栄えにまでこだわった開発を行い、より強力にユーザーさまの業務を
サポートいたします。
論より証拠。
それでは、シンプレックスが満を持してリリースする、カルキング8の新機能をぜひ
ご覧ください。
カルキング8 アップグレード・その1
■使い勝手の向上
・ ズーム機能のサポート
かねてより要望の多かった、ズーム機能をサポートいたしました。
縮小25%〜拡大200%まで、25%きざみで、倍率を変更可能です。
拡大した状態での編集ももちろん可能です。

・ フォントスタイル(プリセットフォント)機能
カルキングの重要な用途の一つに、数式エディタ機能があります。
そのために数式専用フォントも付属していますが、今までは、日本語用書体・英語用書体なども
共通したフォントを利用する状態でした。
カルキング8では、ご要望の多かった、多彩なフォントの切り替えが容易になります。
フォントスタイル機能により、
・日本語フォント 2書体
・英語書体 2書体
・数式用書体 2書体
と用途に応じた、多くの書体をあらかじめ、設定しておくことが可能になりました。
これにより、日本語・アルファベット・数式が混在したドキュメント作成がさらに容易に、
そして美しく実現できます。
・ かな漢変換の再変換機能
長いレポートや計算書を作成する際に、IMEの変換ミスはつきものです。
このようなミスによる、生産性の低下を防ぐため、カルキング8では、確定した後の
かな漢変換の再変換に対応いたしました。
これにより、論文作成時の時間短縮が可能になります。

・ 改行接続コードの表示機能
改行接続のコード(マーク)を表示可能になりました。
特に編集時に、この文章(数式)は改行接続だったかな? といったことが
多くありましたが、これからは一目で分かります。

カルキング8 アップグレード・その2
■表現力の向上
・ メイリオフォントへの対応
Windows Vistaでサポートされている新フォント(メイリオ、その他Vistaで追加された
ClearTypeフォント)に対応いたしました。


・ 可変カッコをより綺麗に、描画
可変カッコをフォントで描画する機能を追加いたししました。
これにより、カッコの見栄えが大幅に改善いたします。
改善前

改善後

・ グラフ目盛りフォントの編集機能
今まで関数グラフ目盛りのフォントは、固定、かつイタリック体でした。
イタリック体から変更したいという、数多くの要望をいただき、この度
フォントのスタイルはもちろん、フォント自体も変更可能になりました。
以前のグラフ

イタリック体を、通常のスタイルに変更したグラフ

・ データグラフに散布図を追加
応用例としてカルキングの乱数のデータの散らばり
乱数関数の結果を2Dデータグラフの散布図で表示します。
これにより数値データでは分りにくいデータの散らばりが明瞭に分かります。
x=random(400)
y=random(400)
{x,y} のデータグラフは以下のようになります。

・ 数学記法通りの表現をさらにサポート
数学の記法に即した表現を、さらに追加いたしました。

カルキング8 アップグレード・その3
■演算能力の向上
・ 計算精度の大幅向上
カルキング7までは、最高演算桁数は300桁でしたが、カルキング8では、なんと
1,000桁までの演算に対応。
πを求めるスクリプトの演算例をご覧ください。

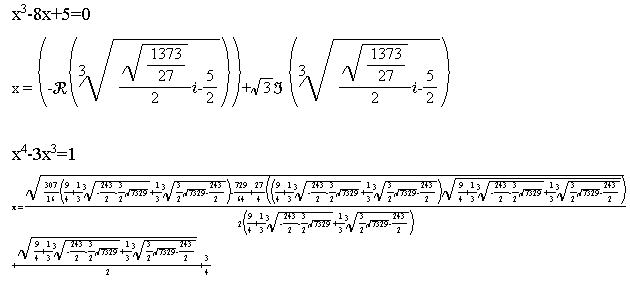
・ 方程式
一元連立方程式の厳密解が、3次、4次の場合も求められます。
一例として、3次、4次の厳密解を一つずつ示します。

・ newtonコマンドの拡張

・ その他の演算機能

カルキング8 アップグレード・その4
■ヘビーユーザーのための機能強化
・ スクリプト機能の強化
☆関数の独立性を高めるために、内部変数宣言を可能にしました。
☆if文のサポート
(今まで条件が一つのcase文で対応していた部分も、if文で見栄えを改善できます)

・集合演算機能の強化

・ データグラフに散布図機能を追加
・ 表機能の改善
入れ子構造の表(罫線)の大幅改善。
ネスト構造の表では、空白調整をしなければ、余白ができてしまいましたが、
カルキング8では、これを改善しました。

・ 計算中断機能
これまでループ計算の打ち切りのみ、中断機能をサポートしていましたが、Escキーにより
代数計算(因数分解・不定積分・分数代数計算など)の中断もサポートしました。
カルキング8 アップグレード・その5
■その他の機能強化
・ スクリプト作成支援
スクリプト機能をより便利にお使いいただけるように、丁寧な解説、例題を
多数追加しました。
・数学関数・システム関数の追加
数学関数では、ルジャンドル関数の追加。
またΓ関数では、複素数版も導入しました。
さらにシステム関数では、文字列処理の非常に強力なルーチンが
加わりました。

・ユーザーパレットの大幅強化
ユーザーパレットにおいて、数学公式、定数を大幅に追加しました。
三角関数、級数、微積分、ベクトル解析など、多数の公式を
ユーザーパレットの表で提供しました。

・ライブラリ関数の大幅強化
デバッグ支援関数、カルキングの表操作関数、数学関数、文字列操作関数など、
多数追加しました。

・下位互換ファイル保存機能
カルキングVer6.0、カルキング7形式でのファイル保存が可能になりました。
カルキング8ユーザーと、カルキングVer6.0、カルキング7ユーザーとの
ファイルのやりとりが可能です。

・1ユーザーさま、3台のPCまでご利用可能
ご好評いただいている、ご購入いただいたユーザーさまのご利用に限り、
最大3台のパソコンにインストール可能なライセンス形態を、
カルキング8でも継続します。
これにより、デスクトップ、ノートパソコン、買い換えなど、多くのシチュエーションに
対応可能です。
以上、カルキング8のおもな新機能、いかがだったでしょうか?
文頭でも触れましたが、カルキング8では、
■ 使い勝手の向上
■ 表現力の向上
■ 演算能力の強化
と、単に演算機能を強化するのではなく、実際にご使用になるユーザーさまの
立場に立って、使い勝手のところから大幅にブラッシュアップしております。
またユーザーさまだけではなく、作成された技術ドキュメントを受け取られる方をも
唸らせるクオリティをめざし、表現力の強化も行いました。
そして、かねてから要望の多かったズーム機能、また多彩なフォントの
切り替えが容易になるフォントスタイル機能のサポート。高度な演算処理を行う
ために欠かすことのできない、システム関数、および計算桁数の大幅向上と、
カルキングは新たなステージに到達しました。
ぜひ新生カルキング8で、作業時間は より短く、クオリティは より高く、という
夢の世界をご体験ください。
|